Mathematics in Class 12 is a crucial subject for students preparing for board exams, competitive exams like JEE, and further studies in science or commerce streams. Mastering formulas is the key to scoring well, as most questions in Class 12 Maths involve direct application of standard formulas.
To help you prepare effectively, we’ve compiled a chapter-wise list of CBSE Class 12 Maths formulas (2025-26) as per the latest syllabus. This guide includes all important formulas from NCERT chapters like Calculus, Algebra, Vectors, Probability, and more—along with 20 solved examples and revision tips. Whether you're a student looking to revise or a teacher preparing notes, this resource is designed to make formula learning easy and efficient.
Here’s a quick snapshot of some of the most commonly used and high-weightage formulas in Class 12 Mathematics. These formulas are useful in multiple chapters and are essential for solving questions in both board and entrance exams like JEE Main.

These formulas serve as a foundation and will also appear again in detailed form under respective chapters.












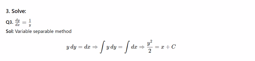
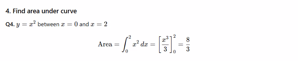
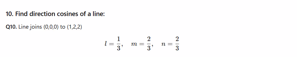
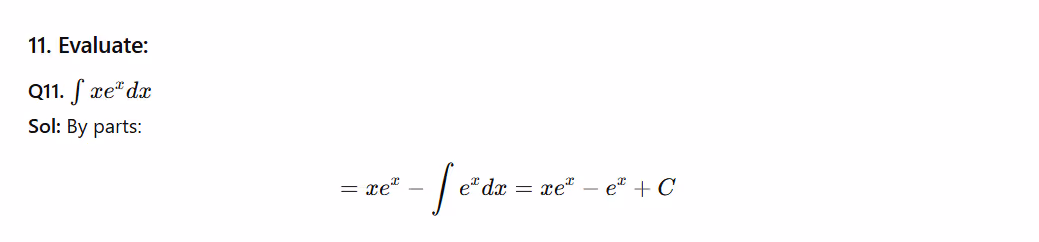
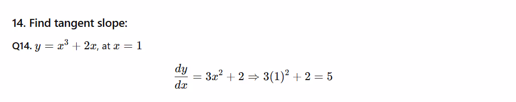
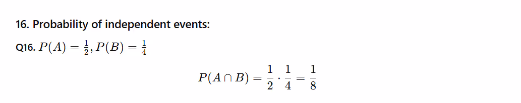
Here are 20 handpicked examples based on frequently asked board exam and entrance exam questions. These show how to apply key formulas from each chapter:




















Mastering Class 12 Maths formulas isn’t about memorization alone—it’s about understanding, consistent practice, and smart revision. Here are some proven tips to learn and retain formulas effectively:
Refer to the latest CBSE Syllabus 2025–26 and official sample papers for insight into frequently tested formulas.
🔗 Visit official CBSE website
Class 12 Mathematics forms the foundation for various academic and professional paths, including engineering, economics, and data science. Knowing formulas isn't just about exam preparation—it's about developing problem-solving skills for life.
This chapter-wise list of CBSE Class 12 Math Formulas (2025–26) is crafted to help you revise smarter, solve faster, and build confidence in your understanding. Whether you’re appearing for the board exam or preparing for JEE and CUET, focus on regular practice, clear understanding, and weekly revision.
Use this formula list as a quick-reference guide and pair it with your NCERT textbook and sample papers for best results.
Yes, the NCERT textbook covers all the essential formulas required for the CBSE board exam. Make sure to practice each formula in different question formats.
Calculus has the highest number of formulas (especially Integrals and Derivatives), followed by Algebra (Matrices and Determinants) and Probability.
Practice each formula with 2–3 examples, revise weekly, and create a formula chart for regular visual reinforcement.
Yes, many formulas from the CBSE Class 12 syllabus overlap with JEE Main and CUET Mathematics sections. However, JEE may also require deeper application and additional problem-solving techniques.
Yes, many educational portals and CBSE support platforms offer free PDFs. You can also make your own by compiling chapter-wise formulas from NCERT textbooks and notes.